聯系我們

手機:15342214292
郵箱:hezi027@qq.com
QQ:3212587206
地址:武漢市東西湖區創谷路20號科創中心22棟
干貨講堂 | 電纜震蕩波局放試驗
發布時間:2025-02-28 13:04:33人氣:
電纜振蕩波檢測技術主要用于交聯聚乙烯電力電纜檢測,是屬于離線檢測的一種有效形式 。該技術基于LCR阻尼振蕩原理,在完成電纜直流充電的基礎上,通過內置的高壓電抗器、高壓實時固態開關與試品電纜形成阻尼振蕩電壓波,在試品電纜上施加近似工頻的正弦電壓波,激發出電纜潛在缺陷處的放電信號。
??????? 電纜震蕩波試驗原理標準基于阻尼振蕩波的電纜局放檢測方法具有供電容量小、測試時間短、現場操作方便、對電纜本體無損傷等顯著特點,可預先發現缺陷并對缺陷準確定位,是目前上先進的電纜局放診斷方法之一。
??????? 判別局放類型并定位故障位置。該技術在近似工頻狀態下基于脈沖電流法高靈敏度檢測局部放電,在此基礎上提取局放脈沖的信息,結合故障模式庫判別實測故障類型;基于脈沖信號在電纜中傳播的行波原理完成脈沖對的匹配,根據時間差算法精確計算故障點所在位置。
試驗設備:
震蕩波是一種緊湊, 輕量且用途廣泛的產品系列, 用于測試和診斷中壓配電電纜。系統可編程控制, 具有自動耐壓, 局部放電 (PD) 測量和分析以及局放定位功能。使用 配套套件可以輕松進行控制和分析。
DAC 電纜測試不僅僅是基本的評估“好或壞”的測量手段, 更是一種高階的分析和診斷理念。它允許對新 裝, 維修或計劃檢修的電纜絕緣狀況進行評估, 從而為資產管理提供參考。系統的測量模式包括:
DAC 電壓測試和局放分析能夠可靠地檢測
試驗原理:
基于 OWTS 技術的測試電壓產生原理如圖1所示。直流高壓電源首先通過線性連續升壓方式對被測電纜進行逐步充電充電電流恒定、加壓至預設值。加壓完成后,固態高壓開關 S(激光觸發場效應管 LTT)在小于 1μS 的時間內閉合,使被測電纜電容與 OWTS 系統中高壓電感 L 產生諧振從而在被測電纜上產生阻尼振蕩交變電壓(DAC),其波形及頻率接近工頻電壓,且持續時間為 mS 級,對電纜絕緣無損傷。
用直流電源將被測試電纜在幾秒中內充電至工作電壓(額定電壓)。實時快速狀態開關 S 閉合,將被測電纜和空心電感構成串聯諧振回路
回路開始以的頻率進行振蕩。空心電感值根據諧振頻率的要求進行選擇,頻率范圍 50-1000Hz。圖 1 中的中壓電路一般具有相對低的介質損耗角的特點,與具有低損耗的空心電感相配,可得到具有高品質因數的諧振回路。回路品質 Q 一般為30-100,振蕩波以諧振頻率在 0.3-1s 內衰減完畢,這一過程只有幾十分之一周波,并對被測試電纜充電,與 50Hz(60Hz)時局部放電非常相似。
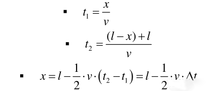
系統采用脈沖反射法進行局部放電定位,原理示意如圖所示。測試一條長度為 L的電纜,假設在距測試端 x 處發生局部放電,脈沖沿電纜向兩個相反方向傳播,其中一個脈沖(為方便起見,文中稱為“入射波”)經過時間 t 1 到達測試端,另一個脈沖(本文中稱為“反射波”)向測試對端傳播,并在對端發生反射,之后再向測試端傳播經過時間 t 2 到達測試端。根據兩個脈沖到達試端的時間差△ t,可計算局部放電發生位置,即:

圖 2脈沖反射法原理示意圖
對于現場的電纜局放測量定位來說被測電纜長度一直是影響測量準確性的一個重要因素。不僅是因為更長的電纜對應擁有更大的電容值,對于加壓充電環節意味著更高的充電功率,同時也因為更長的電纜會給所需捕捉局放信號帶來更大的衰減和畸變。
??????? 傳統單端振蕩波測試系統是基于在被測電纜的一端檢測局放初始信號和同一局放事件從電纜遠端折回反射信號的時間差。如果局放缺陷位于靠近電纜近端一側,局放的反射波形則需途徑超過 1,5 倍電纜全長的路徑才能到達近端的檢測單元,這會給局放信號帶來無法避免的無謂衰減。
數據分析:
??????? 校驗波形,可看電纜全長及中間接頭的具體位置
??????? PRPD 圖一三象限的放電圖譜
??????? 反射即位置映像圖點擊右邊尋找反射波,當信號事件較少時,誤差范圍調大點,然后觀察有無柱狀放電特征及放電特征波形
詳細信息欄里可看電纜電容值、頻率、阻尼衰減曲線及電纜的介損值。
??????? 電纜震蕩波試驗原理標準基于阻尼振蕩波的電纜局放檢測方法具有供電容量小、測試時間短、現場操作方便、對電纜本體無損傷等顯著特點,可預先發現缺陷并對缺陷準確定位,是目前上先進的電纜局放診斷方法之一。
??????? 判別局放類型并定位故障位置。該技術在近似工頻狀態下基于脈沖電流法高靈敏度檢測局部放電,在此基礎上提取局放脈沖的信息,結合故障模式庫判別實測故障類型;基于脈沖信號在電纜中傳播的行波原理完成脈沖對的匹配,根據時間差算法精確計算故障點所在位置。
試驗設備:

震蕩波是一種緊湊, 輕量且用途廣泛的產品系列, 用于測試和診斷中壓配電電纜。系統可編程控制, 具有自動耐壓, 局部放電 (PD) 測量和分析以及局放定位功能。使用 配套套件可以輕松進行控制和分析。
DAC 電纜測試不僅僅是基本的評估“好或壞”的測量手段, 更是一種高階的分析和診斷理念。它允許對新 裝, 維修或計劃檢修的電纜絕緣狀況進行評估, 從而為資產管理提供參考。系統的測量模式包括:
在同等或高于工況電壓下的耐壓測試,
對整體電纜系統進行局部放電測量, 分析和定位
介損因子 (tan δ) 的估算。
對整體電纜系統進行局部放電測量, 分析和定位
介損因子 (tan δ) 的估算。
DAC 電壓測試和局放分析能夠可靠地檢測
由安裝或鋪設引起的絕緣缺陷
電纜附件的缺陷, 即中間接頭和電纜終端
由老化過程導致的電纜絕緣劣化
電纜附件的缺陷, 即中間接頭和電纜終端
由老化過程導致的電纜絕緣劣化
試驗原理:
原理圖

蕩波局放測試原理
基于 OWTS 技術的測試電壓產生原理如圖1所示。直流高壓電源首先通過線性連續升壓方式對被測電纜進行逐步充電充電電流恒定、加壓至預設值。加壓完成后,固態高壓開關 S(激光觸發場效應管 LTT)在小于 1μS 的時間內閉合,使被測電纜電容與 OWTS 系統中高壓電感 L 產生諧振從而在被測電纜上產生阻尼振蕩交變電壓(DAC),其波形及頻率接近工頻電壓,且持續時間為 mS 級,對電纜絕緣無損傷。
用直流電源將被測試電纜在幾秒中內充電至工作電壓(額定電壓)。實時快速狀態開關 S 閉合,將被測電纜和空心電感構成串聯諧振回路

回路開始以的頻率進行振蕩。空心電感值根據諧振頻率的要求進行選擇,頻率范圍 50-1000Hz。圖 1 中的中壓電路一般具有相對低的介質損耗角的特點,與具有低損耗的空心電感相配,可得到具有高品質因數的諧振回路。回路品質 Q 一般為30-100,振蕩波以諧振頻率在 0.3-1s 內衰減完畢,這一過程只有幾十分之一周波,并對被測試電纜充電,與 50Hz(60Hz)時局部放電非常相似。
系統采用脈沖反射法進行局部放電定位,原理示意如圖所示。測試一條長度為 L的電纜,假設在距測試端 x 處發生局部放電,脈沖沿電纜向兩個相反方向傳播,其中一個脈沖(為方便起見,文中稱為“入射波”)經過時間 t 1 到達測試端,另一個脈沖(本文中稱為“反射波”)向測試對端傳播,并在對端發生反射,之后再向測試端傳播經過時間 t 2 到達測試端。根據兩個脈沖到達試端的時間差△ t,可計算局部放電發生位置,即:

式中, v 為脈沖在電纜中傳播的波速


對于現場的電纜局放測量定位來說被測電纜長度一直是影響測量準確性的一個重要因素。不僅是因為更長的電纜對應擁有更大的電容值,對于加壓充電環節意味著更高的充電功率,同時也因為更長的電纜會給所需捕捉局放信號帶來更大的衰減和畸變。
??????? 傳統單端振蕩波測試系統是基于在被測電纜的一端檢測局放初始信號和同一局放事件從電纜遠端折回反射信號的時間差。如果局放缺陷位于靠近電纜近端一側,局放的反射波形則需途徑超過 1,5 倍電纜全長的路徑才能到達近端的檢測單元,這會給局放信號帶來無法避免的無謂衰減。
數據分析:

??????? 分析測試概覽界面可看到具體的設置、電纜的電容、振蕩頻率、溫度等詳細信息

??????? 校驗波形,可看電纜全長及中間接頭的具體位置

??????? PRPD 圖一三象限的放電圖譜

??????? 反射即位置映像圖點擊右邊尋找反射波,當信號事件較少時,誤差范圍調大點,然后觀察有無柱狀放電特征及放電特征波形

詳細信息欄里可看電纜電容值、頻率、阻尼衰減曲線及電纜的介損值。

