聯系我們

手機:15342214292
郵箱:hezi027@qq.com
QQ:3212587206
地址:武漢市東西湖區創谷路20號科創中心22棟
介質損耗測量方法的意義及原理--【赫茲電力】
發布時間:2024-03-18 15:51:35人氣:
這是一種使用較多而且對判斷絕緣較為有效的方法。
圖1為在交流電壓作用下絕緣的等值電路和相量圖。由圖可見,流過介質的電流由兩部分組成,即通過Cx的電容電流分量ICx,通過Rx的有I功電流分量IRx。通常ICx>>IRx,介質損失角δ甚小。介質中的功率損耗
tgδ為介質損耗角的正切(或稱介質損耗因數),一般均比較小。習慣上也有稱tgδ為介質損耗角的。
通過測量tgδ,可以反映出絕緣的一系列缺陷,如絕緣受潮,油或浸漬物臟污或劣化變質,絕緣中有氣隙發生放電等。這時,流過絕緣的電流中有功電流分量IRx增大了,tgδ也加大。需要指出的是:絕緣中存在氣隙這種缺陷,最好通過作tgδ與外加電壓的關系曲線tgδ=f(U)來發現。
例如對于發電機線棒,如果絕緣老化、氣隙較多、則tgδ=f(U)將呈現明顯的轉折、如圖2所示。Uc代表氣隙開始放電時的外加電壓,從tgδ增加的陡度可反映出老化的程度。但對于變電設備來說,由于電橋電壓(2500~10000V)常遠低于設備的工作電壓,因此tgδ測量雖可反映出絕緣受潮、油或浸漬物臟污、劣化變質等缺陷,但難以反映出絕緣內部的工作電壓下局部放電性缺陷。
由于tgδ是一項表示絕緣內功率損耗大小的參數,對于均勻介質,它實際上反映著單位體積介質內的介質損耗,與絕緣的體積大小沒有關系。這一點可以理解如下:在一定的絕緣的工作場強下,可以近似地認為絕緣厚度正比于U。當絕緣厚度一定,絕緣面積越大,其電容量越大,ICx也越大,故ICX正比于絕緣面積。因此近似地認為絕緣體積正比于U ICx。由式(1)進一步可知,tgδ反映單位體積中的介質損耗。
如果絕緣內的缺陷不是分布性而是集中性的,則tgδ有時反映就不靈敏。被試絕緣的體積越大,或集中性缺陷所占的體積越小,那么集中性缺陷處的介質損耗占被試絕緣全部介質損耗中的比重就越小,而ICx一般幾乎是不變的,故由式(1)可知,tgδ增加得也越少,這樣,測tgδ法就不靈敏。
對于像電機、電纜這類電氣設備,由于運行中故障多為集中性缺陷發展所致,而且被試絕緣的體積較大,tgδ法效果就差了。因此,通常對運行中的電機、電纜等設備進行預防性試驗時,便不做這項試驗。相反,對于套管或互感器絕緣,tgδ試驗就是一項必不可少而且是比較有效的試驗。因為套管的體積小,tgδ法不僅可以反映套管絕緣的全面情況,而且有時可以檢查出其中的集中性缺陷。
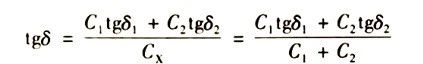
當被試品絕緣由不同的介質組成,例如由兩種不同的絕緣部分并聯組成時,則根據被試品總的介質損耗為其兩個組成部分介質損耗之和,而且被試品所受電壓即為各組成部分所受的電壓,由式(1)可得
因此
由式(2)可知,C2/Cx越小,則C2的缺陷(tgδ)增大)在測整體的tgδ時越難發現,故對于可以分解為各個絕緣部分的被試品,常用分解進行tgδ測量的辦法來更有效地發現缺陷。例如測變壓器tgδ時,對套管的tgδ單獨進行測量,可以有效地發現套管的缺陷,不然,由于套管的電容比繞組的電容小得多,在測量變壓器繞組連同套管的tgδ時,就不易反映套管內的絕緣缺陷。
在通過tgδ值判斷絕緣狀況時,同樣必須著重于與該設備歷年的tgδ值相比較以及和處于同樣運行條件下的同類型設備相比較。即使tgδ值未超過標準,但和過去比以及和同樣運行條件的其他設備比,tgδ突然明顯增大時,就必須進行處理,不然常常會在運行中發生事故。
圖1為在交流電壓作用下絕緣的等值電路和相量圖。由圖可見,流過介質的電流由兩部分組成,即通過Cx的電容電流分量ICx,通過Rx的有I功電流分量IRx。通常ICx>>IRx,介質損失角δ甚小。介質中的功率損耗

tgδ為介質損耗角的正切(或稱介質損耗因數),一般均比較小。習慣上也有稱tgδ為介質損耗角的。

通過測量tgδ,可以反映出絕緣的一系列缺陷,如絕緣受潮,油或浸漬物臟污或劣化變質,絕緣中有氣隙發生放電等。這時,流過絕緣的電流中有功電流分量IRx增大了,tgδ也加大。需要指出的是:絕緣中存在氣隙這種缺陷,最好通過作tgδ與外加電壓的關系曲線tgδ=f(U)來發現。
例如對于發電機線棒,如果絕緣老化、氣隙較多、則tgδ=f(U)將呈現明顯的轉折、如圖2所示。Uc代表氣隙開始放電時的外加電壓,從tgδ增加的陡度可反映出老化的程度。但對于變電設備來說,由于電橋電壓(2500~10000V)常遠低于設備的工作電壓,因此tgδ測量雖可反映出絕緣受潮、油或浸漬物臟污、劣化變質等缺陷,但難以反映出絕緣內部的工作電壓下局部放電性缺陷。

由于tgδ是一項表示絕緣內功率損耗大小的參數,對于均勻介質,它實際上反映著單位體積介質內的介質損耗,與絕緣的體積大小沒有關系。這一點可以理解如下:在一定的絕緣的工作場強下,可以近似地認為絕緣厚度正比于U。當絕緣厚度一定,絕緣面積越大,其電容量越大,ICx也越大,故ICX正比于絕緣面積。因此近似地認為絕緣體積正比于U ICx。由式(1)進一步可知,tgδ反映單位體積中的介質損耗。
如果絕緣內的缺陷不是分布性而是集中性的,則tgδ有時反映就不靈敏。被試絕緣的體積越大,或集中性缺陷所占的體積越小,那么集中性缺陷處的介質損耗占被試絕緣全部介質損耗中的比重就越小,而ICx一般幾乎是不變的,故由式(1)可知,tgδ增加得也越少,這樣,測tgδ法就不靈敏。
對于像電機、電纜這類電氣設備,由于運行中故障多為集中性缺陷發展所致,而且被試絕緣的體積較大,tgδ法效果就差了。因此,通常對運行中的電機、電纜等設備進行預防性試驗時,便不做這項試驗。相反,對于套管或互感器絕緣,tgδ試驗就是一項必不可少而且是比較有效的試驗。因為套管的體積小,tgδ法不僅可以反映套管絕緣的全面情況,而且有時可以檢查出其中的集中性缺陷。
當被試品絕緣由不同的介質組成,例如由兩種不同的絕緣部分并聯組成時,則根據被試品總的介質損耗為其兩個組成部分介質損耗之和,而且被試品所受電壓即為各組成部分所受的電壓,由式(1)可得

因此

由式(2)可知,C2/Cx越小,則C2的缺陷(tgδ)增大)在測整體的tgδ時越難發現,故對于可以分解為各個絕緣部分的被試品,常用分解進行tgδ測量的辦法來更有效地發現缺陷。例如測變壓器tgδ時,對套管的tgδ單獨進行測量,可以有效地發現套管的缺陷,不然,由于套管的電容比繞組的電容小得多,在測量變壓器繞組連同套管的tgδ時,就不易反映套管內的絕緣缺陷。
在通過tgδ值判斷絕緣狀況時,同樣必須著重于與該設備歷年的tgδ值相比較以及和處于同樣運行條件下的同類型設備相比較。即使tgδ值未超過標準,但和過去比以及和同樣運行條件的其他設備比,tgδ突然明顯增大時,就必須進行處理,不然常常會在運行中發生事故。


